Denticity
it determines the total number of donor atoms in a molecule.
On the basis of the property denticity ligands are :
Examples : CN-, OH-,Cl-,Br-,NH3:,H2O,CO etc
Examples

(OXALATE ION)

(ethylene diamine )
NH2-CH2-CH2-NH-CH2-CH2-NH2
Hexadentate: ethylene diamine tetra acetic acid (EDTA)
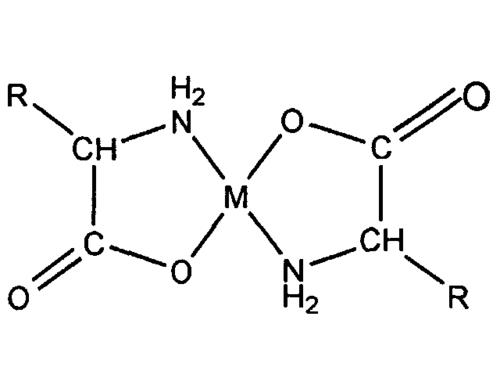
chelate: when the ligand has two or more donor atoms and they are arranged in such a way that they give rise to a ring like structure than the effect is called chelating and the ring formed is chelate .
For example:

uses of chelates:
Ambidentate ligand: that have two donor atoms but doesn’t show chelation. This group bond at a time by one atom.
For example: CN-,NO2 etc
Symmetrical and unsymmetrical ligands :
Symmetrical ligands: if ligands attached to central atom are of same type
Example: ethylenediamine etc.

Unsymmetrical ligands: if ligands attached are of different type.
Example: glycinate ion etc.
Coordination number: it is the number of ligands bonded with the central metal atom for example: IN [Ag (CN)2]-“the no. Of ligands attached are 2 therefore coordination no. is 2 “.
Oxidation number: it is the residual chargeleft on the atom when all other atoms are removed from it .it is calculated by assigning appropriate charges to ligands and then equating the sum of the charges on the central atom and the ligands equal to the charge on the coordination sphere.
For example: [Co (NH3)6] Cl3 in this oxidation state of NH3 is 0 and for Cl is -1, and ooxidation state of Co is taken as x then
(x-3) x 1=0 or x=+3
another example: [Cu (CN)4]3- in this oxidation state of Cu is taken as x, CN as -1 so,
x + (-1 X 4) = -3 or x=+1
Homo-leptic and hetero-leptic compounds
Homoleptic: are those which have same kind of ligands attached to central metal atom
Example:in [Co (NH3)6] Cl3 is homoleptic as ligands are same
terolyptic: when ligands attached are of different type
Example: in [CoCl3(NH3)3]3+ is heterolytic because ligands attached are of different types.
Revision of Class 12 Chemistry Coordination Compounds is a crucial aspect of effective learning. Revision plays a vital role in the learning process and is especially important before exams. Here are some key points you can consider emphasizing in your content:
By highlighting the benefits and strategies of effective revision, you can approach your studies more mindfully and achieve better results in your exams. Best of luck bachhon!
Class 12 Chemistry seems to be a quite difficult subject for a lot of students. But, if you get a very good conceptual understanding of the subject, it can be very interesting for you.
We, at LearnoHub, will give our best to make Class 12 Chemistry Coordination Compounds NCERT Chapter 5 super-duper easy for you.
We aim at making learning fun as well as engaging for you with our complete end-end learning content with Coordination Compounds Class 12 Chemistry Best videos, Notes, NCERT pdf, NCERT complete syllabus, tests and Practice Questions.
Always remember, it is very important to study with full concentration during Revision. Here are a few tips for you on how to revise with full focus:
Remember, studying with full concentration is a skill that takes time and practice to develop. If you find your mind wandering during study sessions, gently bring your focus back to the task at hand and be patient with yourself. With consistent effort, you can improve your ability to concentrate and make the most of your study time.
Last but not the least, To get the best hold on Class 12 Chemistry Coordination Compounds Book Chapter 5. Do not forget to check out: