Revise notes
Class 11 Physics
System of Particles and Rotational Motion
Vector Product
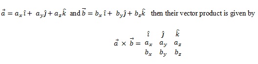
- Vector product (cross product) of two vectors a and b is a × b = ab sinΘ = c , where Θ is angle between a & b
- Vector product c is perpendicular to the plane containing a and b.
- If you keep your palm in direction of vector a and curl your fingers to the direction a to b, your thumb will give you the direction of vector product c

Properties of vector product


Example - Calculate the cross product between a= (3, −3, 1) and b = (4, 9, 2)
Solution:

Class 11 Physics System of Particles and Rotational Motion NCERT Chapter 6 Free Notes for Best Revision
Revision of Class 11 Physics System of Particles and Rotational Motion is a crucial aspect of effective learning. Revision plays a vital role in the learning process and is especially important before exams. Here are some key points you can consider emphasizing in your content:
- Retention and Memory: Regularly reviewing and revisiting the material of Class 11 Physics System of Particles and Rotational Motion helps reinforce the concepts in students' minds. It strengthens memory pathways, making it easier to recall information during exams and beyond.
- Consolidation of Knowledge: When you revise notes, you are essentially consolidating your knowledge. This means connecting new information with what you already know, making the overall understanding more robust.
- Identifying Knowledge Gaps: Revision allows students to identify any gaps in their understanding or areas where they need further clarification. This gives you a chance to seek help or delve deeper into those topics. For detailed understanding, you can always refer to the videos of System of Particles and Rotational Motion Class 11 Physics NCERT Chapter 6 on LearnoHub.com
- Building Confidence: As you revise System of Particles and Rotational Motion Class 11 Physics and become more familiar with the content, your confidence in your abilities grows. Confidence is a crucial factor in exam performance as it reduces anxiety and allows you to approach exams with a positive mindset.
- Different Revision Techniques: Use a variety of revision techniques such as summarizing notes, creating flashcards, practicing past papers, discussing concepts with peers, and teaching others. Different techniques work for different students, and it's essential to find what suits you the best. You can also attend the LIVE Revision classes on LearnoHub.com or watch the LIVE Revision Race videos of LearnoHub on System of Particles and Rotational Motion Class 11 Physics NCERT Chapter 6.
- Spacing Effect: Spacing out revision sessions over time, rather than cramming all at once, has been shown to improve long-term retention. Create a revision schedule leading up to the exams to allow for spaced practice.
- Regular Revision over Cramming: Regular and consistent revision throughout the academic year is very important. Waiting until the last moment to cram everything can be overwhelming and less effective than spaced-out revision.
- Self-Assessment: Assess your understanding periodically through quizzes or self-tests. This helps you to gauge your progress and identify areas that need further attention. Refer Class 11 System of Particles and Rotational Motion Online Tests.
- Balanced Approach: Remind students to strike a balance between revision and other activities. Adequate rest, exercise, and relaxation are essential for optimal learning and performance.
- Seeking Help: If you face difficulties during the revision process, Refer the videos of Class 11 Physics System of Particles and Rotational Motion. Clearing doubts promptly is crucial for a better grasp of the subject matter. You can always ask your doubts on System of Particles and Rotational Motion Class 11 Physics NCERT Chapter 6. “Ask a Question” section of LearnoHub.com
By highlighting the benefits and strategies of effective revision, you can approach your studies more mindfully and achieve better results in your exams. Best of luck bachhon!
Class 11 Physics seems to be a quite difficult subject for a lot of students. But, if you get a very good conceptual understanding of the subject, it can be very interesting for you.
We, at LearnoHub, will give our best to make Class 11 Physics System of Particles and Rotational Motion NCERT Chapter 6 super-duper easy for you.
We aim at making learning fun as well as engaging for you with our complete end-end learning content with System of Particles and Rotational Motion Class 11 Physics Best videos, Notes, NCERT pdf, NCERT complete syllabus, tests and Practice Questions.
Always remember, it is very important to study with full concentration during Revision. Here are a few tips for you on how to revise with full focus:
- Create a Distraction-Free Environment: Find a quiet and comfortable place to study where you can minimize distractions. Turn off or silence your phone, log out of social media accounts, and inform others around you that you need uninterrupted study time. A dedicated study environment will help you focus better.
- Set Specific Goals: Before starting your study session, set clear and achievable goals. Break down your study material into smaller tasks, and plan what you want to accomplish during each session. Having specific goals will give you a sense of direction and purpose, making it easier to concentrate.
- Use the Pomodoro Technique: The Pomodoro Technique is a time management method that involves studying in short, focused intervals, typically 25 minutes, followed by a short break of 5 minutes. After completing four sessions, take a longer break of around 15-30 minutes. This technique can improve focus and productivity by providing regular breaks to recharge.
- Stay Organized: Keep your study materials, notes, and resources well-organized. Having everything you need at hand will save time and reduce distractions caused by searching for materials. Use color-coded folders or digital tools to maintain a structured study system.
- Practice Mindfulness and Meditation: Before you begin studying, take a few minutes to practice mindfulness or meditation. Deep breathing exercises and clearing your mind of distractions can help you approach your study session with a calm and focused mindset.
Remember, studying with full concentration is a skill that takes time and practice to develop. If you find your mind wandering during study sessions, gently bring your focus back to the task at hand and be patient with yourself. With consistent effort, you can improve your ability to concentrate and make the most of your study time.
Last but not the least, To get the best hold on Class 11 Physics System of Particles and Rotational Motion Book Chapter 6. Do not forget to check out:
- System of Particles and Rotational Motion Class 11 Physics Best videos
- System of Particles and Rotational Motion Class 11 Physics NCERT Solutions
- Class 11 Physics System of Particles and Rotational Motion Revision notes
- System of Particles and Rotational Motion Class 11 Physics DPPS, Download PDF of solutions
- Class 11 Physics System of Particles and Rotational Motion Online Tests
- Class 11 Physics Sample papers